返回上一页  首页 | cnbeta报时: 19:41:11
量子技术新突破:光子和成对原子首次实现相互作用
发布日期:2021-08-31 17:09:26  稿源:cnBeta.COM

瑞士洛桑联邦理工学院(EPFL) 的物理学家首次找到了让光子和成对原子互相作用的方法。这一突破对腔体量子电动力学(QED)领域非常重要,这是一个引领量子技术发展的前沿领域。

基于量子技术的快速发展,我们正稳步迈向一个全新的技术时代。但要达到这个目标,我们首先必须掌握使光与物质相互作用的能力--或者更严格地说就是,光子与原子相互作用。

这在某种程度上已经实现,为我们提供了尖端的腔体量子电动力学(QED)领域,它已经被用于量子网络和量子信息处理。尽管如此,仍有很长的路要走。目前的光-物质相互作用仅限于单个原子,这限制了我们在基于量子技术的那种复杂系统中研究它们的能力。

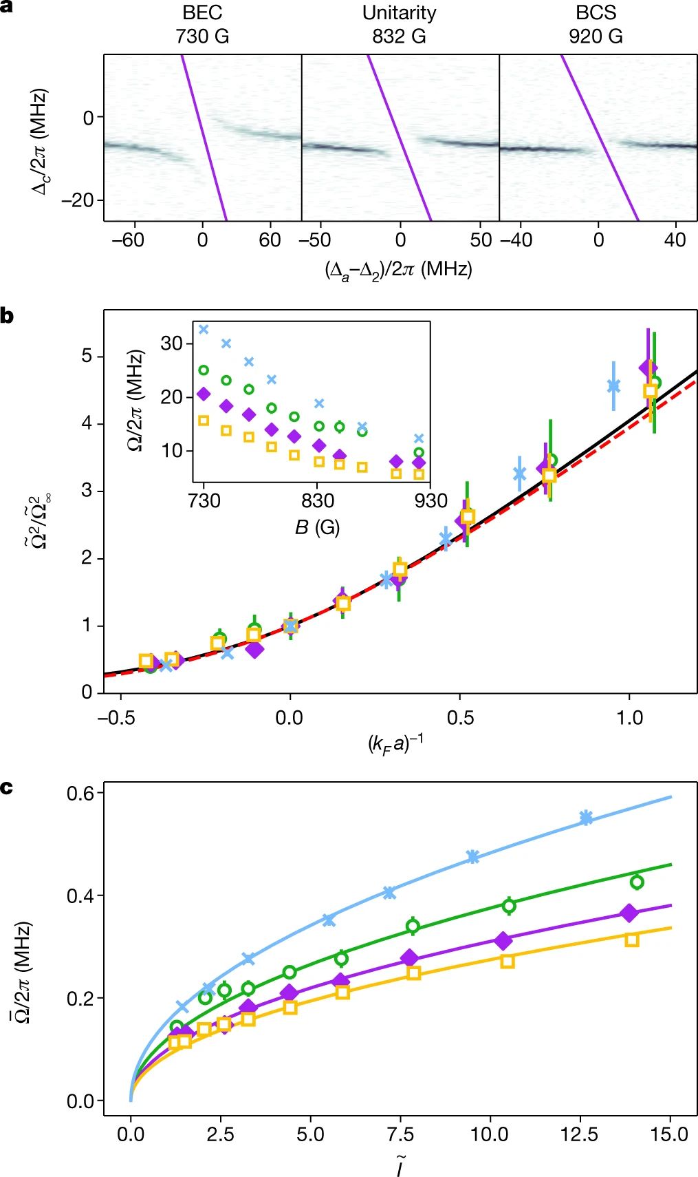
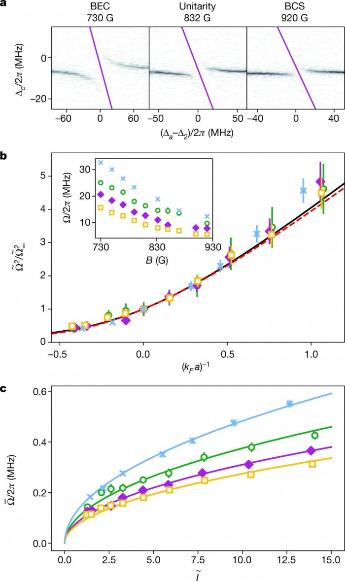
近日发表在《Nature》的一篇论文中,来自于 EPFL 基础科学学院的 Jean-Philippe Brantut 小组的研究人员找到了一种方法,使光子在超低温下与成对的原子“混合”。

研究人员在研究中使用了所谓的费米气体,一种由原子组成的物质状态,类似于材料中的电子。Brantut 解释说:“在没有光子的情况下,这种气体可以被制备成原子之间相互作用非常强烈的状态,形成松散的结合对。当光被送到气体上时,这些对中的一些可以通过吸收光子变成化学结合的分子”。

这种新效应的一个关键概念是,它是“相干地”(coherently)发生的,这意味着光子可以被吸收,把一对原子变成一个分子,然后发射回来,然后多次被重新吸收。Brantut 说:“这意味着一对光子系统形成了一种新型的‘粒子’,我们将其称之为‘pair-polariton’。在我们的系统中,光子被限制在一个‘光腔’(optical cavity,一个封闭的盒子)中,迫使它们与原子发生强烈的相互作用”。

Brantut 说:“气体的一些非常复杂的属性被转化为光学属性,可以用一种直接的方式进行测量,甚至不需要对系统进行扰动。未来的一个应用将是在量子化学中,因为我们证明了一些化学反应可以使用单光子相干地产生”。

我们在FebBox(https://www.febbox.com/cnbeta) 开通了新的频道,更好阅读体验,更及时更新提醒,欢迎前来阅览和打赏。
查看网友评论   返回完整版观看

返回上一页  首页 | cnbeta报时: 19:41:11

文字版  标准版  电脑端

© 2003-2025