来自北佛罗里达大学原子乐高实验室的一支物理研究团队,刚刚发现了一种被称作“非对称铁电性”(asymmetric ferroelectricity)的新奇电子现象。通过与伊利诺伊和亚利桑那州立大学的研究人员合作,UNF 物理学助理教授 Maitri Warusawithana 博士带领的这支团队,首次在工程二维晶体中证明了这一现象。

实验装置(来自:UNF)
研究人员们在工程晶体中证明的非对称铁电性,恰逢在某些天然晶体中发现铁电性后的 100 年。

研究配图 - 1:自然与非对称铁电性
所谓铁电晶体,特指表现出两个相等的双稳态偏振晶体,现已被用于包括固态存储器、RFID 卡片、传感器、以及精密执行器等在内的诸多高科技应用。

研究配图 - 2:样本结构与有序上层结构的成像应变
通过原子级的材料设计方案,研究团队首次展示了一种全新的非对称铁电性现象。

研究配图 - 3:非对称应变引发锐利二维界面和八面体畸变的证据
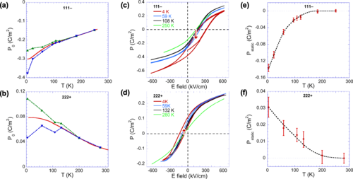
与天然铁电体相比,这些工程晶体会引发不对称的双稳态(具有两种不等的稳定极化状态)。

研究配图 - 4:不同超晶格介电磁化率的场调谐
Maitri Warusawithana 教授指出,本次实验观察有望进一步推动可定制的电子特性,从而开辟更多新奇有趣的技术应用场景。

研究配图 - 5:111- 和 222+ 样品中的非对称铁电态
有关这项研究的详情,已经发表在近日出版的《物理评论 B 刊》上,原标题为《Asymmetric ferroelectricity by design in atomic-layer superlattices with broken inversion symmetry》。